Figure 5 Specialization of the country in primary goods, manufactured goods and services (contribution to the balance, in thousandths of the total of exchanges of the country, 1967- latest available year [t])
Sources: CEPII, CHELEM – International Trade - Balance of Payments databases.
Notes:
Trade data before 1996 are not available or of sufficient quality for successor states of the former Soviet Union, the former Czechoslovakia, the former Yugoslavia and few other countries.
Three large sectors correspond to the groupings of products in the CHELEM database (see the classifications section).
Primary goods: ores, energy and agriculture (sections H, I and J).
Manufactured goods: other goods (sections B, C, D, E, F, G, K and NDA).
Services: all services (processing excluded).
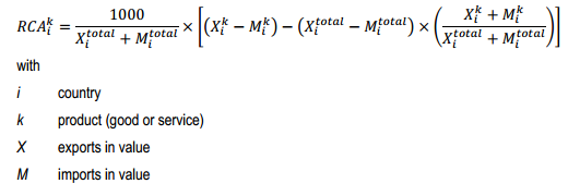
International specialization is measured by the contribution to the trade balance. For every country, this indicator calculates the revealed comparative advantages (RCA), ie the country's advantages/disadvantages revealed by international trade. Considering the country's exports and imports, it shows the key points and the weak points of the country, regardless of the impact of the macroeconomic situation of the country on its trade balance.
Trade balance of a product k is compared to a “theoretical balance” resulting from the distribution of the global balance observed between the various products in total trade of country i. This theoretical balance is, by construction, neutral towards any advantage or disadvantage of the country on the various products. So the distance between effective balance and theoretical balance on each of the products reveals the key or weak points of the country. The indicator is additive and the sum on all the products is equal to zero. To facilitate the comparisons between countries, the indicator is expressed in thousandths of the country's total trade.
Back
