CEPII, Recherche et Expertise sur l'economie mondiale
Graphique 5 Spécialisation du pays en produits primaires, manufacturés et services (contribution au solde, en millièmes du total des échanges du pays, 1967- dernière année disponible [t])

Sources : CEPII, bases de données CHELEM – Commerce international - Balance des paiements.

Notes :

Les données de commerce antérieures à 1996 sont indisponibles ou de mauvaise qualité pour les pays issus de l’ex-URSS, de l’ex-Tchécoslovaquie, de l’ex-Yougoslavie ainsi que pour certains autres pays.

Les trois grands secteurs correspondent aux regroupements à partir de la nomenclature produits de la base de données CHELEM du CEPII (voir la section nomenclatures).
Biens primaires : minerais, énergie et agriculture (sections H, I et J).
Biens manufacturés : les autres biens (sections B, C, D, E, F, G, K et NDA).
Services : l’ensemble des services (hors travail à façon).

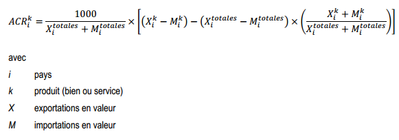
La spécialisation internationale des économies est mesurée à l’aide de l’indicateur de contribution au solde mis au point par le CEPII. Cet indicateur calcule pour chaque pays ses avantages comparatifs révélés (ACR) par le commerce international. Il appréhende les points forts et faibles du pays en considérant à la fois ses exportations et ses importations, indépendamment de l’impact de la situation macroéconomique du pays sur son solde commercial.
Le solde commercial réalisé sur un produit k est comparé à un « solde théorique », résultat de la distribution du solde global observé entre les différents produits au prorata de la part de chacun dans les échanges totaux du pays. Ce solde théorique est, par construction, neutre de tout avantage ou désavantage du pays sur les différents produits. L’écart entre solde réalisé et solde théorique sur chacun des produits révèle ainsi les points forts ou faibles du pays. L’indicateur est additif et la somme sur l’ensemble des produits est égale à zéro. Pour faciliter les comparaisons entre pays, l’indicateur est exprimé en millièmes du commerce total du pays.

 Les Profils Pays du CEPII : indicateurs, bases et nomenclatures

 Panorama du CEPII
N°2016-02, juin 2016


BibTeX (with abstract)
plain text (with abstract)
RIS (with abstract)

Contact:
Retour